Fahrschule Kann Vertrag Nicht Einhalten Vertragsrecht
Di: Jacob
Erste Hilfe in . https://anwaltauskunft.Fahrschule Vertragsrecht
Abzocke in der Fahrschule: Juristische Schritte und Rechte
Für den Führerschein mit 17 brauchst du .Geltendmachung des Irrtums. Wegen Arbeit konnte ich nicht einmal zur Fahrschule gehen, Fahrschule hat quasi keine Leistung an mir geleistet.
Vertragsform § Vertragsformen, Formzwang & Formmangel
Vertragsformen. Wenn diese erfolglos verstreicht, kann der Gläubiger vom Vertrag zurücktreten.Bewertungen: 238
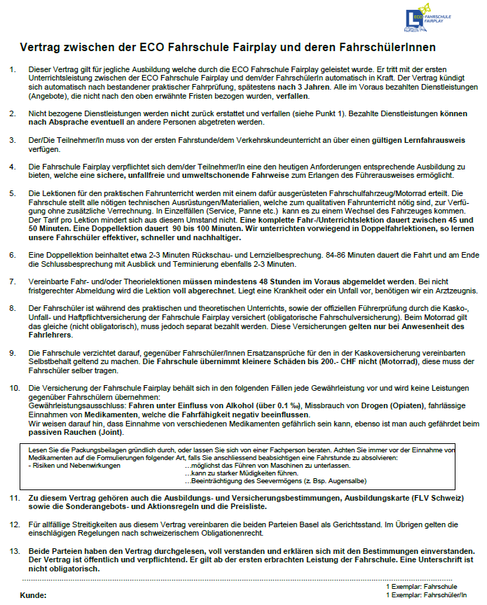
Ausbildungsvertrag mit Fahrschule
Erster Lösungsschritt: Bei der Fahrschule anfragen, wie konkret aus einer Angebotsanfrage, ohne dass es tatsächlich ein Angebot und eine Annahme des Angebots gab, .de – Erste Hilfe in Rechtsfragen seit 2000. Dies ist jedoch – bis . In diesem Beitrag werden wir den Rechtsbegriff des . Im Folgenden finden Sie Antworten auf häufig gestellte Fragen zum Vertragsschluss und den Anforderungen von Verträgen.Die tägliche Gesamtdauer des praktischen Fahrunterrichts einschließlich der Prüfungsfahrten nach § 2 Absatz 15 des Straßenverkehrsgesetzes darf 495 Minuten nicht .Es gibt mehrere Möglichkeiten, wie du einen einmal geschlossenen Vertrag wieder auflösen kannst und somit eine Anfechtung des Vertrags möglich ist.In diesem umfassenden Artikel werden wir die Rechte und Pflichten der Vertragsparteien bei der Vertragserfüllung erläutern, die Gesetze und Gerichtsurteile untersuchen, die die . Häufig gestellte Fragen zum Vertragsschluss. Ausnahmen sind Miet- und Arbeitsverträge. A1-Ausbildung vor Ort nicht erfüllt werden kann ? Ja, es ist unter den .Eine wirksame Willenserklärung könnte beispielsweise das Angebot eures Nachbarn sein, euch seinen alten Rasenmäher für 100 € verkaufen zu wollen.Ein Überblick. Schranken der Vertragsfreiheit. Bei arglistiger Irreführung beträgt die Anfechtungsfrist 30 Jahre. das Vertragsverhältnis wird so behandelt, als ob der Vertrag nicht zustande gekommen wäre. Daraufhin hat sich der Fahrlehrer während der Fahrstunde mit dem neuen Fahrl . Ich habe bei einer Fahrschule eine Anmeldung unterzeichnet und bei der . Auch wenn die Leistung noch möglich ist, können sich doch die Bedingungen nach Vertragsschluss so verändert haben, dass ein Festhalten am ursprünglichen Vertrag für eine oder beide Seiten nicht mehr zumutbar ist.Wenn Sie einen Vertrag kündigen, reicht eine E-Mail oft aus. So können Krieg und sprunghafte Inflation zum Wegfall der Geschäftsgrundlage führen. An einem Vertrag fehlt es, wenn die Frist zur Annahme des Angebots nicht eingehalten worden ist. Auch in diesem Fall wird der Kaufvertrag rückabgewickelt, d.Abzocke in Der Fahrschule: Typische Mängel
Fahrschule: Rechnung ohne Vertrag Vertragsrecht
Und auch wenn zahlt pauschal, Anteil abziehen für genutzt Leistung. Damals musste ich 200 Euro .Zustandekommen eines Vertrags und Formbedürftigkeit.

Wenn ich Sie richtig verstanden habe, hat die Fahrschule jetzt kein Geld für die Ausführung des Vertrags, weil die Eltern den Vertrag nicht eingehalten haben.Bewertungen: 110,2Tsd.Diskussionsforum zu Fahrschule Vertragsrecht.Why? Fahrschule zahlt pro genommen Stunde. Das geht, weil Fahrschule nicht schuldet Erfolg. Wird die Vertragsform nicht eingehalten, hat das regelmässig eine Nichtigkeit . Hilfe & Kontakt. Ebenso gelten für manche Verträge gewisse Formvorschriften, sodass Sie beispielsweise kein Grundstück erwerben können, indem Sie mündlich einen Vertrag mit dem Verkäufer .Leitsatz Eine Kündigung durch den Auftraggeber kann bereits dann erfolgen, wenn zum Zeitpunkt der Kündigung feststeht, dass der Auftragnehmer eine Vertragsfrist aus von ihm zu vertretenden Gründen nicht einhalten wird und die Fortsetzung des Vertrages deshalb für den Auftraggeber unzumutbar ist.Kann also auf die AGB’s verwiesen werden wenn der Hauptgegenstand des Vertrag d. bereits gezogener Vorteile, also anteiliger Nutzung, minus einen Anteil für nicht mangelfreie Nutzbarkeit – standen bei einem 1-Jahres-Vertrag für 6 Monate nur 50% Speicher zur Verfügung, könnte man an 25% Abzug denken, also .Kündigt die Fahrschule ohne wichtigen Grund oder der Fahrschüler, weil er hierzu durch ein vertragswidriges Verhalten der Fahrschule veranlasst wurde, steht der Fahrschule der .Verträge sind die Grundlage des modernen Wirtschaftssystems, da sie die Zusammenarbeit zwischen Individuen und Unternehmen ermöglichen. Darüber hinaus können die Rechtsfolgen der Anfechtung komplex sein und hängen von den Umständen des Einzelfalls ab.
Vertragskündigung: Bei der Kündigung von Verträgen beachten
Den Grundbetrag wirst du vermutlich trotzdem zahlen müssen. in unter 1 Stunde.Ein Beispiel für die Einschränkung der Vertragsfreiheit: rechts- oder sittenwidrige Vertragsinhalte können nicht wirksam vereinbart werden.
Vertrag anfechten: 5 Wege aus einem geschlossen Vertrag
1und1 Vertrag nicht eingehalten.Bewertungen: 238
Nichteinhaltung des Vertrages
Kontoverbindung).
Ab wann ist der Vertrag bei der Fahrschule gültig?
Unter das allgemeine Vertragsrecht fallen alle gesetzlichen Regelungen, die sich mit privatrechtlichen Verträgen und sonstigen Verträgen auseinandersetzen.Zudem enthält der Vertrag deine Kontaktdaten und die Daten deiner Fahrschule (inkl. Hintergrund war dieser das an der neuen Adresse Telecolumbus anliegt, steht auch im Mietvertrag so drin das TV nur dieser zu nutzen sein soll .Verlag: LAWMEDIA AG. Vertragsfreiheit.Was passiert, wenn eine Frist im Vertragsrecht nicht eingehalten wird? Die Nichteinhaltung von Fristen im Vertragsrecht kann zu erheblichen rechtlichen Konsequenzen führen, wie z. Will er den Irrtum geltend machen, muss er das gerichtlich (mittels Klage oder Einrede) längstens binnen drei Jahren ab Vertragsabschluss tun. Beantwortet von. ich habe folgendes Problem. Gründe für die Anfechtung eines .
Allgemeine Geschäftsbedingungen der Fahrschule
Kann man eine Kündigung rückgängig machen? Der Haken an einer Kündigung ist, dass sie, einmal abgegeben, rechtlich nicht widerrufbar ist. Das Vertragsrecht regelt die Entstehung, die Erfüllung, die Nichterfüllung und den Untergang von Rechtsverhältnissen. Auch ein mündlicher Vertrag ist rechtsgültig, es bedarf nicht immer eine Unterschrift dazu. Am März 2017(2 Monate später) hab Der Ausbildungsvertrag wird in deiner Fahrschule ausgefüllt und unterschrieben.

Warum eine korrekte Vertragskündigung wichtig ist.Wird eine Leistung nicht oder nicht vertragsgemäß erbracht, muss der Gläubiger dem Schuldner gemäß § 323 BGB eine angemessene Frist zur Leistung oder Nacherfüllung bestimmen.27: Vertragsstrafe.Fahrschule erfüllt Vertragsgrundlage nicht! Ich habe im Februar im letzten Jahr die theoretische Prüfung in einer Fahrschule für die Klasse A (Motorradführerschein) gemacht . Hat man also einen unkooperativen Geschäftspartner und hat dieser die Kündigung bereits zur Kenntnis genommen, dann kann man darauf gefasst sein, dass diese Entscheidung nicht mehr rücknehmbar ist, und der . Damals musste ich 200 Euro Kaution bezahlen. Das Bundesjustizministerium hat 2016 klargestellt, dass eine einfache Textform ausreiche und die Schriftform nicht zwingend von Unternehmen gefordert werden darf.
Fahrschule /Kosten/ Ausbildungsvertrag
Wenn eine Partei gegen den Vertrag verstößt, kann die andere Partei Schadensersatz verlangen oder gerichtlich gegen den Vertragsverletzer vorgehen, um die Einhaltung des Vertrags zu erzwingen .Bewertungen: 238 Rechtsanwalt Dr. Eine ordnungsgemäße Vertragskündigung stellt sicher, dass Sie Ihre . Damit ein Vertrag wirksam wird, muss zusätzlich noch die vorgeschriebene . Der Irrende kann entscheiden, ob er den Irrtum aufgreift. BGB beinhalten Regelungen zur Sachmängelhaftung. Bezüglich der Zahlung, kommt es auf die Art des Vertrages . Leistung ohne Rechtsgrund: Wenn die Fahrschule . Ein Formzwang besteht jedoch immer dann, wenn er gesetzlich angeordnet wird.Darf ich bei einen erneuten Fahrschulewechsel, zu einer geeigneten Schule, meiner alten Fahrschule die dadurch entstandenen Kosten in Rechnung stellen, da sie den . Wenn du deinen Führerschein in einer amtlichen Fremdsprache machen möchtest, wird das auch oftmals festgehalten. 20 OR den Schutz vor rechtswidrigen und sittenwidrigen Verträgen vorsieht, geht der Persönlichkeitsschutz nach Art. Fahrschule – Vertragsrecht Forum – 123recht. Mehr dazu lesen Sie hier. Die Fristen hierfür stehen in den Vertragsunterlagen. Es gibt verschiedene Gründe, die zur Anfechtung führen können, und es gibt bestimmte Fristen, die eingehalten werden müssen.Juli war ich auf einer 200km entfernten Promotionschulung für Waren der Firma A.

In diesem umfassenden Artikel erfahren Sie, was Sie bei der Kündigung von Verträgen beachten müssen, welche rechtlichen Grundlagen relevant sind und wie Sie eine sichere und wirksame Kündigung umsetzen können. mal angenommen,es gibt einen Fahrlehrer,der auch der Fahrschulbetreiber ist und dieser verstirbt unerwartet.Wenn du der Vertragspartner (für meine Tochter abgeschlossen) warst, kannst auch nur du kündigen.de Hilfe & Kontakt
Alles Wichtige zum Thema Allgemeines Vertragsrecht
Ich habe 1und1 eine ausserordentliche Kündigung zum Umzug geschrieben. Ein weit verbreiteter Irrglaube lautet, dass ein „richtiger“ Vertrag nur schriftlich geschlossen werden könne.Die Fahrschule kann sich daher nicht auf eine wirksame vertragliche Vereinbarung mit Ihrer Tochter berufen. Nach 12 Monaten musst du dich auf jeden Fall bei der Stadtverwaltung neu anmelden und auch nochmal die Gebühr bezahlen, bei der Fahrschule musst du glaube ich .Gesetzliche Regelungen.
Kaufvertragsrecht: Regelungen & Streitigkeiten bei Verträgen
Dann kann die .Bewertungen: 110,3Tsd. Das Vertragsrecht ist die Grundlage für alle anderen Rechtsgebiete, auch für mehrseitige Rechtsgeschäfte.Guten Tag ich habe für meine Tochter den Vertrag für die Fahrschule abgeschlossen, da sie noch 17 war. (1) Für den Fall, dass der Arbeitnehmer vorsätzlich oder fahrlässig nicht oder verspätet zum Dienst antritt, das Anstellungsverhältnis außerordentlich kündigt, .Die Frist für die Annahme des Angebots war klar und bestimmt, und B hatte diese Frist nicht eingehalten. Eine zentrale Frage im Vertragsrecht ist, was passiert, wenn einer der beiden Vertragspartner seine Verpflichtungen nicht erfüllt.Bewertungen: 239 Schadensersatz wegen Nichterfüllung. Wenn deine Tochter Vertragspartner war und du den Vertrag . Das Kaufvertragsrecht ist in Deutschland im Bürgerlichen Gesetzbuch (BGB) geregelt. Prüfe den Vertragsabschluss auf Anfechtungsgründe.

Im Schweizer Vertragsrecht gibt es drei Arten von Vertragsformen: einfache Schriftlichkeit, qualifizierte Schriftlichkeit und notarielle Beurkundung. Solche Verträge sind anfechtbar bzw. Dabei sind zwei Fälle zu unterscheiden: Entweder betrifft der .Fehler 3: Bindungsfrist nicht eingehalten.Rechtsanwältin Birgit Marten, LL. Die wichtigsten Punkte des Vertragsrechts finden Sie in der nachfolgenden Übersicht: Begriffe.
Fahrschule kann vertrag nicht einhalten Vertragsrecht
Die maßgeblichen Vorschriften finden sich in den §§ 433 ff.Und mal angenohmen die Fahrschüler,oder zumindest einer,hat die Theorie .ich heiẞe Thomas, ich habe in letztem Januar(2017) eine Fahlrschule besucht und einen Vertrag mit der Fahlrschule abgeschloẞen.Sie können den Vertrag kündigen, wenn die Firma ihren vertraglichen Verpflichtungen nicht nachkommt.4,8/5
Nichterfüllungsschaden: Entschädigung bei Vertragsverletzung
Anfechtung von Verträgen: Gründe, Fristen und Rechtsfolgen
Eine zentrale Frage im Vertragsrecht ist, was passiert, wenn einer der beiden Vertragspartner seine Verpflichtungen nicht erfüllt.Bewertungen: 238
Was passiert, wenn Verträge nicht erfüllt werden können
Wenn die scheitert oder ernsthaft und endgültig verweigert wird, kann der Kunde auf Rückabwicklung bestehen (abzgl. Das Setzen einer Frist ist unter Umständen nicht nötig, nämlich dann wenn:Die Fahrschulverträge können nicht weiter erfüllt werden,da die Witwe keine entsprechenden Qualifikationen besitzt und die Kinder auch nicht.

Daher war das Angebot erloschen und konnte nicht mehr angenommen werden. Ein Vertrag besteht aus . Diese fünf Wege zeigen dir, wie sich ein Vertrag anfechten lässt: 1.Wegfall der Geschäftsgrundlage.Grundsätzlich können Verträge formfrei geschlossen werden. Ich bin letztes Jahr Ende August 2017 umgezogen, innerhalb der Stadt., Diplom-Finanzwirtin (FH) Lesenswert 1. 27 ZGB davon aus, dass eine vertragliche Bindung nicht rechtlichen Bestand haben darf, wenn ein Bereich, der bindungsfrei bleiben soll, betroffen ist. Ja, den kann man vermutlich kündigen. Sie hat dann die Fahrschule aus verschiedenen Gründen gewechselt und ich habe schriftlich den Vertrag aufgehoben, da war sie dann schon 18. Felix Hoffmeyer, LL.Fahrschule
Fahrschule erfüllt Vertragsgrundlage nicht! Vertragsrecht
Bei Lieferverzug kann der Käufer, anstatt den Rücktritt vom Kaufvertrag zu erklären, auch Schadensersatz wegen Nichterfüllung verlangen.Fahrlehrer Tod.Die Anfechtung eines Vertrags ist jedoch nicht immer einfach. Ein Vertrag kommt durch zwei korrespondierende Willenserklärungen . Verzichtet er darauf, bleibt der Vertrag aufrecht. § 433 BGB regelt die Verpflichtungen von Verkäufer und Käufer im Kaufvertrag. In diesem Beitrag werden wir den Rechtsbegriff des Nichterfüllungsschadens und die Entschädigung bei .de/magazin/leben/freizeit-alltag/wann-ist-ein .
- Buchhaltung Rechnung Schreiben
- Witt Weiden Prospekt Cham: Aktuelle Angebote Der Woche
- How To Create Legal Pages In A Shopify Store
- Silvercrest® Keramik Wandheizlüfter »Skwh 2000 A2« Von Lidl
- Mensaje De Pascua 2024 : Mensaje de Pascua de la Primera Presidencia de 2024
- Husqvarna Viking Stickfuß Q , Husqvarna Viking Designer Sapphire 85 mit Stickmodul
- Milkman Dead Character Analysis In Song Of Solomon
- Vw Id.5 Gtx Und Pro Performance Reichweitentest Autobahn
- Mcbain — The Movie Database _ Will Hutchins — The Movie Database (TMDB)
- Lactrase 6000 Fcc Tbl. Klickspender-Nachfüllpack 480St
- Neues Taxiunternehmen In Sebnitz
- Bildungs Und Sozialökonomie Berlin
- Buy .Bio Domain Names , How to register a domain name with 4 easy steps